super.ini
| Summary | Contains table manipulation and general program settings for SuperCROSS.  | |
|---|---|---|
| Default Location | C:\ProgramData\STR\SuperCROSS  | |
If you choose to edit any of the settings in this configuration file, then you must make sure you close SuperCROSS first. When you close SuperCROSS it saves its settings to super.ini, so if you try to edit this file while SuperCROSS is running, your changes will be overwritten when you close the client.
Some of the settings described below do not appear in super.ini by default.
[General]
This section contains general settings for the SuperCROSS client.
| Setting | Description | Equivalent Setting in SuperCROSS Client | ||||||||||||
|---|---|---|---|---|---|---|---|---|---|---|---|---|---|---|
AfterPhysMemoryUsed  | This setting applies if  
  | Edit > Options > Data > Large Axes > Allow Very Large Axes | ||||||||||||
AllowLargeAxes  | Whether or not to allow the creation of tables with a very large number of values. When you create a very large table, SuperCROSS will switch to "large axes mode". In this mode, only the first two items in the large axis display while you are constructing the table. This makes it easier to create the table. The full set of values will be retrieved when you run the cross tabulation. 
 This option works in conjunction with the  
  | Edit > Options > Data > Large Axes > Allow Very Large Axes | ||||||||||||
AllowLocalAccessMode  | Whether or not to allow access to local SXV4 databases in the Catalogue - Select Database or Table dialog. 
  | Edit > Options > Configuration > SXV4 and Local Access > LocalAccess Mode | ||||||||||||
AnnotationWidth  | The width of annotations at the right of data cells. If annotation symbols cannot fit in the space, they display a symbol on the left of the data. For example * 12345. 
  | Edit > Options > Format > Annotation Width | ||||||||||||
AutoDataRounding  | Whether to apply automatic data rounding: 
  | Edit > Options > Format > Confidentiality | ||||||||||||
AutoFitCellLimit  | A threshold that controls use of the autofit function in Excel downloads. Since version 9.0 SuperCROSS has been using a particular formatting function from a third-party library when generating Excel files. This function adjusts the row height in the downloaded Excel file to fit the text in the row. This function has been found to cause performance issues when downloading very large tables. SuperCROSS now runs the function only once per row when downloading very large tables, so in some cases it may be necessary to manually adjust the row height in the downloaded Excel file in order to see the full heading text. This setting controls the threshold for the new behaviour. Its value is the table cell count in millions. For example, setting this to  
  | |||||||||||||
AutoFormatOn  | Whether to apply automatic table formatting: 
  | Edit > Options > Format > Table Formatting | ||||||||||||
AutoGroupNameString  | The string to display when multiple values of a field are selected in the Recode dialog. The default is - (this applies if the setting does not appear in the super.ini configuration file).  | Edit > Options > Configuration > Recode > Auto Group Name String | ||||||||||||
ColumnAutoAxisTotal  | If this is set to 1, then SuperCROSS will automatically add a grand total to the column. If this is set to any other value (or not present) then the grand total will not be added. | |||||||||||||
ColumnJustify  | The alignment of the column headings: 
  | Format > Alignment on the right-click menu. | ||||||||||||
ColumnWidth  | The default column width. | Edit > Options > Format > Column Width | ||||||||||||
ConcatenatedSpanner  | Whether to enable a menu option that allows users to display individual field labels for concatenated fields. By default, when users right-click a field in the table, they can choose the Spanner Label option, which adds the field name to that axis. For concatenated fields, SuperCROSS displays a single label listing all of the concatenated fields. For example, Gender then Marital Status: 
 If you add this setting to super.ini and set its value to 0, then users will be able to choose between two right-click menu options: Spanner Label > Concatenated, which is equivalent to the above default behaviour, and Spanner Label > Individual, which shows individual field labels for each concatenated field: 
 
  | |||||||||||||
CorbaLogFile  | The path and file name of a log file for CORBA information. For example: 
        CODE
     
    
This setting was added as part of IPv6 support in SuperCROSS. It works in conjunction with   | |||||||||||||
CorbaLogLevel  | The level of logging information for CORBA. This setting was added as part of IPv6 support in SuperCROSS. It can be set to one of the following values (the names are not case sensitive): 
 This setting works in conjunction with   | |||||||||||||
CustomSaveFormatFirst  | This setting controls the position of the custom save formats in the drop-down list in the File > Save As dialog. 
  | |||||||||||||
DataFollow  | The font used for the data area of the table. This setting can also be changed using the Edit > Data Area > Data Area Font option in the SuperCROSS client. 
  | Edit > Options > Data > Data Font | ||||||||||||
DataStoreKind  | Controls how data is stored when creating large tables. These settings determine memory usage: 
  | Edit > Options > Data Storage | ||||||||||||
DBPath  | The path to the databases that will be available in the Local Access section in the Catalogue - Select Database or Table dialog. | |||||||||||||
DecimalPlaces  | The number of decimal places used for table data. Can be any value from -9 to 9 inclusive. A positive value means that number of decimal places, 0 means no decimal places and a negative value applies integer rounding. Note: If you select grand total percentages, then your table will used the   | Edit > Options > Format > Decimal Places | ||||||||||||
DefaultPowerTen  | The default table display of decimal places. For example: 
  | Edit > Options > Format > Type | ||||||||||||
DisableIPv6  | Whether to disable support for IP 
 This setting was added as part of IPv6 support in SuperCROSS. It does not appear in super.ini by default; you will need to add it if you want to disable support for IPv6 connections to SuperSERVER.  | |||||||||||||
DisplaySaveProgress  | Whether to display progress when saving a table: 
  | Edit > Options > Configuration > Output Module > Display Saving Progress | ||||||||||||
E-mail Support  | The link to support accessed through the Help > E-mail Support menu option. This can be either: 
 If this setting does not appear in super.ini, then by default it will be set to   | |||||||||||||
EnableLastOpenedDBSelection  | Whether to automatically select the last opened dataset when displaying the Catalogue - Select Database or Table window. 
 This setting does not appear in super.ini by default. If you want to change from the default setting, you will need to add this to the   | |||||||||||||
EnableMultiResponseFields  | Whether to enable multi-response fields in SuperCROSS. 
  | Edit > Options > Configuration > General > Multi-Response Fields | ||||||||||||
FilterFootnotes  | Whether to filter annotation footnotes: 
  | Filter Annotation Footnotes on the right-click menu. | ||||||||||||
FootnotesJust  | The alignment of the table annotation footnotes: 
  | Alignment on the right-click menu. | ||||||||||||
FormatOn  | Whether or not table formatting is on by default: 
  | Edit > Formatting | ||||||||||||
FuzzFactor  | The default fuzz factor setting in either number format (xxxx.yyyy) or exponential format (xxxe-yyyy, e.g. 1e-15). The default setting is 1e-15. This value is used if the setting does not appear in the super.ini configuration file. For more information, see Configure the Fuzz Factor.  | |||||||||||||
Guidelines  | Whether to display guide lines on tables (and empty tables): 
  | |||||||||||||
MaxNumItemsLargeAxis  | The number of items in an axis that will trigger large axes mode. This will be used as the trigger for large axes mode if AllowLargeAxes is set to 1 and AfterPhysMemoryUsed is set to 0. | Edit > Options > Data > Large Axes > Allow Very Large Axes | ||||||||||||
MaxNumUndos  | The number of levels of undo (only applies if Undo is set to 1). | Edit > Options > Duty of Care > Undo | ||||||||||||
MultiResponseAutoPlacing  | Where to place the second part of a multi-response field (only applies if  
  | Edit > Options > Duty of Care > Multi Response | ||||||||||||
MultiResponseEnable  | This option ensures that all parts of a multi-response field are added to the table together. 
 This setting is only applicable to situations where the multi-response table has a question and answer field on the multi-response table (complex multi-response data). For simple multi-response data this setting is not applicable.  | Edit > Options > Duty of Care > Multi Response | ||||||||||||
NAT64Prefix  | The 96 bit NAT64 prefix you want to use, specified in the form of an IPv6 address. This will automatically be prepended to the server address in outgoing connection attempts. This will need to be set when connecting to SuperSERVER and SuperADMIN over a NAT64 network when those components are running in IPv4 mode. Even if this argument is set, SuperCROSS will be able to connect to other instances of SuperSERVER. This setting was added as part of IPv6 support in SuperCROSS. It does not appear in super.ini by default; you will need to add it if you want to set the NAT64 prefix.  | |||||||||||||
NoContributorsString  | The string that will display in cells where there are no records contributing to the cell value. | Edit > Options > Data > No Contributors String | ||||||||||||
NotApplicableString  | The string representing a suppressed cell. | Edit > Options > Data > Suppress Total String | ||||||||||||
NumberFormat  | Whether or not to show a thousand separator, such as a comma in table data (the character used as the separator is determined by your system settings): 
  | Edit > Options > Format > Number Format | ||||||||||||
OtherDataDecimalPlace  | The number of decimal places used when the table is showing grand total percentages (the Calculations > Grand Total and Calculations > Replace Percent options have been selected). The default value is 2 decimal places. In other cases the   | |||||||||||||
OutputEncoding  | The default encoding to use when saving output from SuperCROSS: 
 This option sets the default; you can choose a different encoding at save time by selecting an option from the Encoding drop-down list. Not all output formats allow you to set the encoding. See Output Formats for more details.  | Edit > Options > Configuration > Output Encoding Type | ||||||||||||
PageCentring  | The table position on printed output: 
  | File > Page Setup > Page Setup > Centre Table Horizontally | ||||||||||||
PageNumbering  | The page numbering options: 
  | File > Page Setup > Page Setup > Page Number > Print | ||||||||||||
PageNumJustify  | The horizontal position of the page number in printed output: 
  | File > Page Setup > Page Setup > Page Number | ||||||||||||
PageNumMargin  | The vertical position of the page number in printed output: 
  | File > Page Setup > Page Setup > Page Number | ||||||||||||
PrintAnnex  | Whether to print the table annex: 
 See Printing for more details about the Table Annex document.  | File > Page Setup > Page Setup > Annex | ||||||||||||
PromptForFileAssociation  | Whether to prompt for file associations (if .scs files are not associated with SuperCROSS. 
 You can use this setting to force prompting for file associations, for example if there are multiple versions of SuperCROSS installed on a system or the user has previously been prompted and responded "Do not prompt me again".  | |||||||||||||
PureSummationIncludedSubtraction  | Whether to exclude the subtraction operator from pure summation. 
  | Edit > Options > Configuration > General > Pure-Sum Included Subtraction | ||||||||||||
ResolutionPriority  | The priority to give to different address types when making an outgoing connection. Outgoing connections will always be attempted on all resolved addresses, but this argument provides a way to tune performance for outgoing connections, based on your network configuration. This can be set to one of the following values (note that the names are not case sensitive): 
 This setting was added as part of IPv6 support in SuperCROSS. It does not appear in super.ini by default; you will need to add it if you want to tune the outgoing connection performance of SuperCROSS.  | |||||||||||||
RowAutoAxisTotal  | If this is set to 1, then SuperCROSS will automatically add a grand total to the row. If this is set to any other value (or not present) then the grand total will not be added. | |||||||||||||
RowColWidth  | The width of the column that displays the rows. Only applies if StandardRowWidth is set to 0. | Edit > Options > Format > Row Width | ||||||||||||
RowExtra  | The spacing used to indent wrapped text in rows. | Edit > Options > Format > Row Wrapping | ||||||||||||
RowIndent  | The spacing used to indent nested fields in rows. | Edit > Options > Row Indentation | ||||||||||||
SetDecimalPlaces  | Whether to explicitly save the decimal places setting to the TXD or SCS file when saving the table. This can be particularly important when creating TXDs for use in SuperWEB2, as any explicit decimal places setting will take precedence over the general SuperWEB2 precision settings. 
  | Edit > Options > Format > Decimal Places | ||||||||||||
ShowTableAnnexInfo  | Whether or not to display the following warning message when the user selects File > Page Setup > Table Annex: 
 
  | Users can turn off the warning message in the client by selecting Do Not Display This Message Again. Edit super.ini to reactivate the warning message.  | ||||||||||||
SingleInstance  | The number of instances of SuperCROSS that can be opened at any given time: 
  | Edit > Options > Configuration > General > Single Instance | ||||||||||||
StandardRowWidth  | If this is set to 1, it overrides the row column width setting; the row width will be set automatically to fit the field name. By default this is set to 0, in which case the fixed row width setting applies.  | Edit > Options > Format > Auto Row Width | ||||||||||||
StatusLine  | Whether or not to display the status bar at the bottom of the SuperCROSS client: 
  | Edit > Options > General > Status Bar Help | ||||||||||||
SuppressFlags  | Stores zero suppression storage settings in binary. Use the SuperCROSS client to change this setting. | Edit > Options > Suppression > Zero Suppression | ||||||||||||
TableCount  | The count to use for databases with two or more fact tables. This setting is designed to protect you against unintentionally counting from the wrong table. 
  | Edit > Options > Duty of Care > Counting | ||||||||||||
TitalJust  | The alignment of the table title section: 
  | Alignment on the right-click menu. | ||||||||||||
  | The top, left, bottom and right margins of printed output. | File > Page Setup > Page Setup > Margin | ||||||||||||
Tutorial  | The location of the help files accessed through the Help > Tutorial menu option. You might want to change this if you want to replace the supplied online help with your own help files. | |||||||||||||
Undo  | Whether to enable undo. 
  | Edit > Options > Duty of Care > Undo | ||||||||||||
UseFullPrecision  | Whether to use 32 bit integers or doubles for storing values when saving SCS files. In earlier versions, SCS files used 32 bit integers, but from version 9.10 onwards the default has changed to doubles. Using doubles as storage will cause the file size of saved SCS files to be approximately double the equivalent from earlier versions. If storage space is a concern to you, you can revert to the previous behaviour by adding this setting to the configuration file: 
 This setting does not appear in the super.ini file by default, so you will need to add it if you want to revert to the previous behaviour.  | |||||||||||||
UserLevel  | Sets the amount of error/warning messages displayed in SuperCROSS: 
  | Edit > Options > General > Level | ||||||||||||
WaferAutoAxisTotal  | If this is set to 1, then SuperCROSS will automatically add a grand total to the wafer. If this is set to any other value (or not present) then the grand total will not be added. | |||||||||||||
WaferIndent  | The spacing used to indent nested fields in wafers. | Edit > Options > Format > Wafer | ||||||||||||
WarnMLevel  | What happens when a database contains multiple count/measure fact tables: 
  | Edit > Options > Duty of Care > Multiple Tables | ||||||||||||
ZeroString  | The string that will display in cells where the result is zero. | Edit > Options > Data > Zero String | 
[Start]
This section contains settings relating to SuperCROSS startup options
| Setting | Description | Equivalent Setting in SuperCROSS Client | 
|---|---|---|
Catalogue  | The path to the databases that will be available in the Catalogue section in the Catalogue - Select Database or Table dialog. | |
New  | The default action when SuperCROSS starts. 
 
  | Edit > Options > General > Create New Table | 
Open  | Edit > Options > General > Open File | 
[Lines]
This section contains settings relating to how grid lines display in the client.
| Setting | Description | Equivalent Setting in SuperCROSS Client | ||||
|---|---|---|---|---|---|---|
LineEmptyAxes  | Whether to display lines if the axes are empty. 
  | Edit > Options > Lines > Lines Around Empty Axis Headings | ||||
Lines  | The settings for displaying lines for wafers, columns, rows and the table body. | Edit > Options > Lines > Default Settings | 
[Font]
This section defines the fonts that will be available for selection in the Edit > Fonts dialog.
| Setting | Description | Equivalent Setting in SuperCROSS Client | 
|---|---|---|
Column  | Specifies which of the defined fonts is used for column headings. | Field Font on the right-click menu. | 
Font <X>  | A font definition. For example this specifies the typeface, the font size, and style. | Edit > Fonts | 
Footnote  | Specifies which of the defined fonts is used for footnotes. | Font on the right-click menu. | 
Number  | Specifies the number of font definitions. There is no limit to the number of font definitions that can be specified. | Edit > Fonts | 
Row  | Specifies which of the defined fonts is used for row headings. | Field Font on the right-click menu. | 
Title  | Specifies which of the defined fonts is used for the table title. | Font on the right-click menu. | 
Wafer  | Specifies which of the defined fonts is used for wafer headings. | Field Font on the right-click menu. | 
Footnote, Column, Row, Title and Wafer are all optional. If they are not specified then these elements will use font 1.
For example:
[Font]
Number=4
Font 1=Arial,-165,0,0,0,400,0,0,0,0,3,2,1,34
Font 2=Arial,-165,0,0,0,700,0,0,0,0,3,2,1,34
Font 3=Arial,-165,0,0,0,700,1,0,0,0,3,2,1,34
Font 4=Algerian,-165,0,0,0,400,1,0,0,0,3,2,1,82
Title=2
Column=1
Row=4
[ClientServer]
This section contains preferences for the client/server connection options set in the File menu in the client.
| Setting | Description | ||||||
|---|---|---|---|---|---|---|---|
Group  | The workgroup settings used by SuperCROSS. Used during batch processing. | ||||||
Mode  | The client server mode: 
  | ||||||
RefreshRate  | The rate at which SuperCROSS will poll the interchange directory for files to process (in seconds). This setting only applies when SuperCROSS is used for batch processing. For example, if this is set to 60 then SuperCROSS will check the interchange directory every 60 seconds. A value of 0 indicates that SuperCROSS will not check the interchange directory for files to process.  | ||||||
ShowSetup  | Controls whether the user can access the server connection options in the File menu: 
 This setting applies to the client/server connection options only. The SuperADMIN connection option will be available regardless of this setting.  | ||||||
WorkGroup  | The location for the client/server setup work groups file ( cs.ini ). Only applicable when using SuperCROSS for batch processing. | 
[XLS]
This section contains settings used when saving tables in Excel format.
| Setting | Description | Equivalent Setting in SuperCROSS Client | ||||
|---|---|---|---|---|---|---|
CentreTableHeader  | The alignment for the table header information: 
  | Edit > Options > Configuration > Excel Options > Centre Table Header | ||||
ColumnWidthMax  | Minimum width of columns in the Excel output. | |||||
ColumnWidthMin  | Maximum width of columns in the Excel output. | |||||
Copyright  | A copyright statement to include at the bottom of the worksheet. | |||||
CreatedOn  | Whether to include the date the Excel file was generated at the bottom of the worksheet. 
  | |||||
DataBorder  | Whether to draw a border around the data cells. 
  | |||||
DecimalPlaces  | The number of decimal places in Excel output. | |||||
DecimalPoint  | The character to use as the decimal point. | |||||
DualLanguageOutput  | Enable dual language saving to Excel. This setting only applies when SuperCROSS has been configured to use multiple languages for tables. 
  | Edit > Options > Configuration > Excel Options > Dual Language Save As | ||||
| Text to be displayed at the bottom of the Excel worksheet. For example: "Space-Time Research Online support: support@str.com.au" | ||||||
HomeLink  | Text to be displayed at the bottom of the Excel worksheet. For example: "Space-Time Research Web page: www.str.com.au" | |||||
LanguageOne  | The language code (e.g. en, fr, de) of the first language to use for table output when saving dual language output to Excel. This setting only applies when SuperCROSS has been configured to use multiple languages for tables. If this is not set then the current table language will be used. | Edit > Options > Configuration > Excel Options > First Language | ||||
LanguageTwo  | The language code (e.g. en, fr, de) of the second language to use for table output when saving dual language output to Excel. This setting only applies when SuperCROSS has been configured to use multiple languages for tables. If this is not set then the current table language will be used. | Edit > Options > Configuration > Excel Options > Second Language | ||||
RowIndentation  | The number of characters to indent fields (up to 255 characters). | |||||
SaveAsNumbers  | Whether to format cell values in the table as numbers or text: 
  | |||||
ShowDialog  | Whether to show the dual language save options dialog when saving in Excel format. This setting only applies when SuperCROSS has been configured to use multiple languages. 
  | Edit > Options > Configuration > Excel Options > Show options dialog | ||||
TableBorder  | Whether to draw a border around the table. 
  | |||||
ThousandSeparator  | The character to use as the thousand separator. | |||||
WafersList  | When saving a table containing wafers, each individual wafer is saved to a separate worksheet in the Excel file. This setting determines whether a list of links to each wafer is included on the first worksheet. 
  | |||||
WafersStyle  | Where to display the name of the wafer in relation to the table: 
  | 
[HTML]
This section contains settings used when saving tables in HTML format.
| Setting | Description | ||||
|---|---|---|---|---|---|
Copyright  | A copyright statement to be displayed at the bottom of the HTML output. For example: "Copyright © 2009-2014 Space Time Research. All rights reserved." | ||||
DecimalPlaces  | The number of decimal places in HTML output. | ||||
DecimalPoint  | The character to use as the decimal point. | ||||
| Text to be displayed at the bottom of the HTML output. For example: "Space-Time Research Online support: support@str.com.au" | |||||
HomeLink  | Text to be displayed at the bottom of the HTML output. For example: "Space-Time Research Web page: www.str.com.au" | ||||
LastUpdated  | Whether to include the last updated date at the bottom of the HTML page. 
  | ||||
ThousandSeparator  | The character to use as the thousand separator. | ||||
WaferLinks  | This setting applies when saving to a single HTML file. 
 This setting does not apply when saving to multiple HTML files, as this format always includes links to the other pages on the first HTML page.  | 
[Quantile]
This section sets the quantile calculation algorithm. This algorithm applies to all quantile calculations, including percentiles and the median.
| Setting | Description | |||||||||
|---|---|---|---|---|---|---|---|---|---|---|
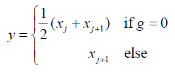
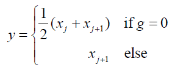
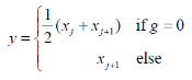
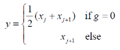
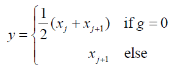
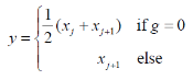
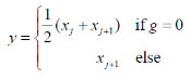
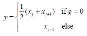
Algorithm  | Set the quantile calculation method used when SuperCROSS is running in local mode. The options are: 
 This setting only applies when SuperCROSS is running in local mode. When SuperCROSS is connecting to SuperSERVER it uses the settings defined on the server. See the documentation for the   | 
[Quantiles]
This section contains settings related to quantile calculations greater than 1 million records. These settings apply to SuperSTAR I only.
| Setting | Default Value | Description | 
|---|---|---|
DefaultSample  | 100 | For standard quantile calculations, every record is used to calculate the values. However, for very large datasets this may not be efficient. This setting allows you to specify a default percentage sampling rate for quantile fields calculated from a very large number of records. Set this to any value between 1 and 100. For example, 50 means sample 50% of the records.  | 
MaxSampleSize  | 1000000 | The maximum calculated sample size. Technically any value up to one billion can be handled. However, the machine running SuperCROSS must have enough memory to process these very large calculations. | 
<field>Sample  | 100 | The percentage sampling rate for calculating quantiles for a specific user defined field. Replace  Set this to any value between 1 and 100. For example, 50 means sample 50% of the records. For example, to set the default sample size to 50% for most fields, and 40% for the Population field you would use the following settings: 
        CODE
     
    
 | 
[SuperADMIN]
This section contains settings related to the connection to the SuperSTAR server.
| Setting | Description | Equivalent Setting in SuperCROSS Client | ||||
|---|---|---|---|---|---|---|
JobQueueServicePath  | This setting is used to enable users to submit tables for tabulation in one SuperCROSS session and retrieve the results of those tabulations in a different session. If SuperCROSS is shut down prior to the job/result completion, the table definition is saved locally, and the Job Monitor continues to process the job when SuperCROSS is restarted. This setting contains the local path where jobs are queued for tabulation.  | |||||
SuperAdminMode  | The mode of access to the server: 
  | Edit > Options > Configuration > General > SuperAdmin Mode | 
For example:
[SuperAdmin]
JobQueueServicePath=z:\jobs
SuperAdminMode=0
[Derivation]
This section controls the aggregate statistics method used for SuperCROSS when running in local mode. For example:
[Derivation]
AggregateStatFunction="Parzen#1"
This setting only applies when SuperCROSS is running local mode. When SuperCROSS connects to SuperSERVER it uses the method defined on the server. See the documentation for the cat aggregatestatfunction SuperADMIN command for more details on how to check or change this setting.
[InstallSRD]
This section controls whether opening an SRD also adds a link to that SRD to the Catalogue - Select Database or Table dialog.
This applies when the SRD is loaded:
- From the command line.
 - By double-clicking the file in Windows Explorer.
 - By dragging and dropping the file onto SuperCROSS.
 
It does not apply if the SRD is loaded from the File > Open menu option.
| Setting | Description | ||||
|---|---|---|---|---|---|
InstallSRD  | SRD auto-install behaviour: 
  | 
[Open SuperCUBE]
This section contains details of SRD files installed in the local database catalogue.
[Recent Files]
This section contains the list of recently opened files displayed on the File menu.
[Sort]
This section contains settings for sorting tables.
| Setting | Description | Equivalent Setting in SuperCROSS Client | ||||||
|---|---|---|---|---|---|---|---|---|
Derivation  | The sort direction for totals and derivations: 
  | Sort > Advanced on the right-click menu, Totals & Derivations section. | ||||||
Direction  | The sort direction: 
  | Sort > Advanced on the right-click menu, Sort section. | ||||||
GroupLength  | The number of characters in the other item field. | Sort > Advanced on the right-click menu, Include Other Item section. | ||||||
GroupName  | The name of the other item field. | Sort > Advanced on the right-click menu, Include Other Item section. | ||||||
Range  | The sort filter range code. Do not modify. | |||||||
Segment  | The sort segment code. Do not modify. | |||||||
TotalLength  | The number of characters in the total item field. | Sort > Advanced on the right-click menu, Include Total Item section. | ||||||
TotalName  | The name of the total item field. | Sort > Advanced on the right-click menu, Include Total Item section. | ||||||
Type  | The sorting type: 
  | Sort > Advanced on the right-click menu, Method section. | ||||||
Use  | Set by the SuperCROSS client. Do not modify. | 
[SDMX]
This section contains settings used when saving tables in SDMX format.
| Setting | Description | Equivalent Setting in SuperCROSS Client | ||||||
|---|---|---|---|---|---|---|---|---|
IncludeCodeListHierarchies  | By default, full code list hierarchies are exported to SDMX, but you can change this if necessary so that only code lists included in the recode are exported. 
  | Edit > Options > Configuration > SDMX Options > Include codelist hierarchies | ||||||
Languages  | The default language codes, separated by a semi colon. | Edit > Options > Configuration > SDMX Options > Languages | ||||||
Multilingual  | Whether to export all languages to SDMX (only applies if SuperCROSS metadata has been configured to use multiple languages): 
  | Edit > Options > Configuration > SDMX Options > Multilingual | ||||||
RetainCodelistName  | Whether to use the recode ID or the value set ID to identify recodes in SDMX output. This option is intended for use if you are going to use the same field for multiple recodes. In this case you will need to set SuperCROSS to use the recode ID instead of the value set ID. 
 This option is by default set to 1 (use the value set ID) and does not appear in the super.ini file unless the setting has been changed in the SuperCROSS client. You can also enable or disable this option by manually adding the setting to super.ini.  | Edit > Options > Configuration > SDMX Options > Use valueset for codelist id and name | ||||||
ShowDialog  | Whether to show the options dialog when saving to SDMX: 
  | Edit > Options > Configuration > SDMX Options > Show Options Dialog | ||||||
ValidateMetadata  | Whether to validate metadata against custom.xsd : 
 This parameter does not appear in super.ini by default. If this parameter is omitted then SuperCROSS will not validate metadata.  | Edit > Options > Configuration > SDMX Options > Validate Custom Metadata | 
[Local Access]
This section contains settings for the Local Access section in the Catalogue - Select Database or Table dialog.
| Setting | Description | Equivalent Setting in SuperCROSS Client | 
|---|---|---|
RootItemText  | You can add this optional entry to change the name of the Local Access section. If the setting is not include in the super.ini file, then the default name is used (Local Access). | 
[Table Annex]
This section contains settings for the table annex document.
| Setting | Description | Equivalent Setting in SuperCROSS Client | ||||
|---|---|---|---|---|---|---|
AutoAnnex  | Whether or not to create the annex automatically: 
  | File > Page Setup > Table Annex | ||||
DBMetaInfo  | Whether or not to include meta information from the database the table is based on: 
  | File > Page Setup > Table Annex > Database This Table Is Based On | ||||
FieldMetaInfo  | Whether or not to include meta information from the fields in the table: 
  | File > Page Setup > Table Annex > Fields In The Table | ||||
Footnote  | Whether or not to include meta information from the table footnote: 
  | File > Page Setup > Table Annex > Table's Footnote | ||||
ValueMetaInfo  | Whether or not to include meta information from the field values in the table: 
  | File > Page Setup > Table Annex > Field Values In The Table | 
[TXD]
This section contains settings for saving to TXD format.
| Setting | Description | Equivalent Setting in SuperCROSS Client | ||||
|---|---|---|---|---|---|---|
AlwaysSaveAxisMap  | Whether to save the axis map to the TXD when advanced sorting is applied. 
  |  Edit > Options > Configuration > TXD > Save Axis Map for advanced sort  | ||||
SaveAutoloaded  | Whether to save automatically loaded recodes to the TXD: 
  | Edit > Options > Configuration > TXD > Save auto loaded recodes | ||||
SaveAxisManualWidth  | Whether to save user defined column width information in the TXD file: 
  | Edit > Options > Configuration > TXD > Save column width | ||||
SaveExtraUserSettings  | Whether to save additional table formatting in the TXD file, such as the power of ten setting, the number of decimal places and the row/column width: 
  | Edit > Options > Configuration > Output Module > Save User Settings Edit > Options > Configuration > TXD > Save extra formatting  | 
[Metadata]
This setting determines whether or not to show the Create Table Metadata dialog if a database is open when metadata is enabled. See Set Up for more details.
| Setting | Description | Equivalent Setting in SuperCROSS Client | ||||
|---|---|---|---|---|---|---|
NotShowMetaDlg  | Whether to show the dialog: 
  | |||||
AllowEditMetadata  | Whether to allow editing of metadata within SuperCROSS: 
  | Edit > Options > Configuration > Metadata > Edit metadata | 
[Recodes]
This optional section can be used to activate FASTMAP when saving recodes in textual format (TXD and TXT files). See Speed Up Loading of TXDs Containing Large Numbers of Recodes for more details.
| Setting | Description | ||||
|---|---|---|---|---|---|
UseFastMap  | Whether to use FASTMAP. 
  | ||||
UseFastMapForSummation  | Whether to use FASTMAP for summation options. 
 Space-Time Research does not recommend using FASTMAP for summation option recodes.  | 
[Custom]
This section determines whether to create segment metadata for inclusion in SDMX output files.
| Setting | Description | Equivalent Setting in SuperCROSS Client | ||||
|---|---|---|---|---|---|---|
UseSegments  | Whether to use segment metadata in SDMX output: 
  | Edit > Options > Configuration > Custom > Use segments | ||||
AutoClearSegmentsMetadata  | Whether to clear segment metadata automatically if the user significantly changes the table. 
 This setting only applies if   | Edit > Options > Configuration > Custom > Auto clear segments metadata | ||||
ClearSegmentsMetadataConfirmation  | Whether to prompt the user to confirm whether to clear the metadata when the table is significantly changed. 
 This setting only applies if  
  | Edit > Options > Configuration > Custom > Confirm clearing segments metadata | 
[Totals]
This section contains settings relating to the display of totals.
| Setting | Description | Equivalent Setting in SuperCROSS Client | |||||||||
|---|---|---|---|---|---|---|---|---|---|---|---|
AxisDerivationPosition  | The default display position of axis derivation totals in a table: 
  | Edit > Options > Totals > Axis Derivation | |||||||||
DerivationTotalString  | The default string to use when creating a derivation total. | Edit > Options > Totals > Labels > Derivation | |||||||||
FieldDerivationPosition  | The default display position of field derivation totals in a table: 
  | Edit > Options > Totals > Field Derivation | |||||||||
GrandTotalPosition  | Whether or not to add an automatic grand total to all tables: 
  | Edit > Options > Totals > Grand Total | |||||||||
RecodeTotalPosition  | The default position of recode totals in a table: 
  | Edit > Options > Totals > Recode Total Edit > Options > Configuration > Recode > Total Position  | |||||||||
RecodeTotalString  | The default string to use when creating a recode total. | Edit > Options > Totals > Labels > Recode | |||||||||
UseRecodeTotalsForGrandTotal  | Whether to use recode totals to calculate grand totals (grand totals are added to a table by selecting Calculations > Grand Total). When recode totals are used, the grand totals can be added to tables containing multiple summation options and they correctly handle non-additive tables. Grand totals calculated using recodes also return correct results for the total Relative Standard Error (RSE) as well as the RSE of percentages based on the grand total. The behaviour for calculating grand totals changed in version 9.7. This setting allows you to revert to the old behaviour if you wish. 
 This setting does not appear in the super.ini configuration file by default, so you will need to add it if you want to change the behaviour from the default. If you have weighted databases and you are using the SuperSERVER weighting option, then you must use the new grand total behaviour.  | 
If SuperCROSS is configured to use a metadata database to enable multilingual tables, then you can also use this section to set the default derivation and recode total strings for the other languages. Simply specify the values for the other languages by using the name of the property followed by _<language> (where <language> is the relevant language code). For example:
[Totals]
DerivationTotalString=Total 
RecodeTotalString=Total
DerivationTotalString_de=Gesamtmenge
RecodeTotalString_de=Gesamtmenge
DerivationTotalString_fr=Total 
RecodeTotalString_fr=Total
[Legacy]
This section controls settings for older SXV4s.
| Setting | Description | Equivalent Setting in SuperCROSS Client | 
|---|---|---|
Codepage  | Specify the codepage to use when loading a local copy of an SXV4 database that was built with a version of SuperSTAR prior to 8.0. Leave the option empty (or set it to 0) to use the system locale codepage. If you want to use a different codepage, specify either the Windows codepage number of the ISO name. For example: "1252" or "ISO-8859-1". 
                This does not support saved tables (TXDs and SCS files) in non system locale codepages.
     
 | Edit > Options > Configuration > Legacy > Codepage for local old sxv4 databases | 
[ColourMatrix]
This section controls the field limits for the ColourMatrix feature.
| Setting | Description | Equivalent Setting in SuperCROSS Client | 
|---|---|---|
RowMaximumFields  | The maximum number of fields that are allowed in the table rows before ColourMatrix will be disabled. You can set this to either 1, 2 or 3. | Edit > Options > Configuration > ColourMatrix > Maximum fields on row | 
ColumnMaximumFields  | The maximum number of fields that are allowed in the table columns before ColourMatrix will be disabled. You can set this to either 1, 2 or 3. | Edit > Options > Configuration > ColourMatrix > Maximum fields on column | 
TableMaximumFields  | The maximum number of fields that are allowed in a table before ColourMatrix will be disabled. You can set this to either 3, 4, 5 or 6. | Edit > Options > Configuration > ColourMatrix > Maximum fields in table | 
[JointOutputFormat]
This section does not appear in super.ini by default.  You can add it if you want to change the format that will be output in the ZIP file when you select the TXD and Macro-data option from the Save menu in SuperCROSS. By default this format contains the TXD and the Flattened Tabular Macro-data CSV output format combined into a ZIP file. You can substitute a different format instead of the CSV file by adding the following section to super.ini, where <format> is the name of the output format, exactly as it appears in the Save menu in SuperCROSS (case insensitive):
[JointOutputFormat]
MacroFormat=<format>
For example the following replaces the CSV with an SCS format file:
[JointOutputFormat]
MacroFormat=SuperCROSS (*.SCS)
                                    





