Skip to main content
Skip table of contents

RSE Calculation

Summary

Calculates Relative Standard Error.

Filenamersecalculationmodule
DependenciesNone
Priority

This module calculates the RSE, so must run before any other modules that require or update the RSE cube.

It now runs automatically for SuperSERVER weighted datasets (see below) and does not need to be configured.

RSE Calculation Module Now Runs By Default

RSE is only available for weighted databases.

From version 9.7 onwards the RSE Calculation Module runs automatically when a database is configured to use SuperSERVER weightings. While you can still configure the module if you wish to change other RSE settings, or have legacy configuration from an earlier release, in most cases this will not be necessary:

  • If you want to change the RSE formula, then you can do so by changing a setting in the weightings file. If both are configured, then the setting configured for the method in SuperADMIN takes precedence.

  • If you want to configure the unreliable cell and table threshold, and message, you are recommended to use the RSE Poor Table Check module instead.

Configuration

CODE
method addmethod <method_id> [{table|mandatory}] [<display_name>]
method <method_id> adddcplugin <plugin_id> rsecalculationmodule [<priority>]
method <method_id> <plugin_id> addproperty Formula {jackknife|bootstrap}
method <method_id> <plugin_id> addproperty UnreliableRseThreshold <threshold>
method <method_id> <plugin_id> addproperty UnreliableTableThreshold <threshold>
method <method_id> <plugin_id> addproperty Message <message>

Example

CODE
method addmethod MethodID
method MethodID adddcplugin RSECalculation rsecalculationmodule 1
method MethodID RSECalculation addproperty Formula "jackknife"
method MethodID RSECalculation addproperty UnreliableRseThreshold "0.75"
method MethodID RSECalculation addproperty UnreliableTableThreshold "2%"
method MethodID RSECalculation addproperty Message "Table is not reliable"

Properties

Formula

The formula for calculating RSE: jackknife or bootstrap.

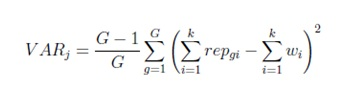
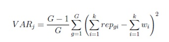
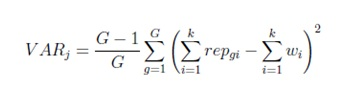
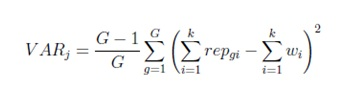
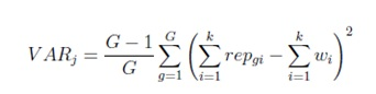
jackknife

(Default). The jackknife variance estimator is given by:

Where G is the total number of replicate weights and repg=gth

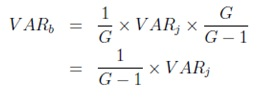
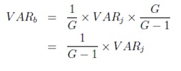
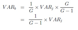
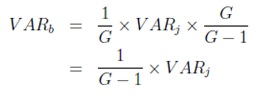
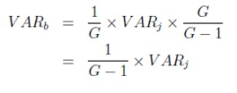
bootstrap

The bootstrap variance estimator is given by:

The following formula is used to obtain the value of the bootstrap estimate, given the jackknife:

While RSE values are supposed to be in the range of 0 and 1, these formulas do not guarantee that calculated RSE values are always in the range of 0 and 1. Calculated values may be greater than 1 in some cases.
UnreliableRseThreshold
The RSE threshold for unreliable cell values. If a cell's RSE is greater than the threshold value that cell will be considered unreliable.
UnreliableTableThreshold

The threshold for unreliable tables. This must be specified as a percentage, for example "2%".

If the proportion of unreliable cells in the table exceeds this value then the table will be considered unreliable and the unreliable table message will be shown.

Message
A message that will be displayed if the table has failed the reliability check.
JavaScript errors detected

Please note, these errors can depend on your browser setup.

If this problem persists, please contact our support.