cat
Use this command to configure the catalogue; the collection of datasets and folders available to SuperSERVER.
| Item | Description |
|---|---|
| Folder | Similar to a folder in a filesystem, you can use folders to organise the items in the catalogue and group together related items. The folders will be displayed to end users in the client (SuperCROSS, SuperWEB2, etc) |
| Dataset/Database | An sxv4 file containing the SuperSTAR dataset for cross tabulation. |
View Current Catalogue Settings
cat |
| Display all the items in the catalogue, including datasets and folders, along with their settings. |
cat <id> |
Display the settings for the specified dataset or folder. Note: Items in the catalogue have a display name (the name that is displayed to end users in the client) and an ID (a unique identifier). When managing the item in SuperADMIN, you must always use the ID, not the display name. If a display name or ID includes non alphanumeric characters (e.g. a space) then you must enclose it in quote marks. You must also enclose a display name or ID in quotes if it starts with a numeric character. |
cat <dataset_id> fields |
| List all the fields for the specified dataset. |
cat <dataset_id> <field_name> |
| List all the ID and value set IDs for the specified field. |
cat <dataset_id> <field_name> <value_set> values |
| List all the values for this value set, and their IDs. |
cat [ <folder_id> ] databases |
| List all the datasets in the specified folder (or at the root level if you omit the folder ID). |
cat [ <folder_id> ] folders |
| List all the folders in the specified folder (or at the root level if you omit the folder ID). |
Add Datasets and Folders
cat [ <folder_id> ] adddb <dataset_id> [ <display_name> ] <path_location> <server_id> | ||||||||||
Add a new dataset to the catalogue.
|
cat [ <folder_id> ] addfolder <new_folder_id> [ <display_name> ] | ||||||
Create a new folder.
|
Modify Datasets and Folders
cat <id> {up|down} |
Change the order items are listed in the catalogue (the order of items in the catalogue is also the order they will be displayed to users in the clients). Use this command to move an item up or down the list. |
cat <id> move <folder_id> |
Move the specified item into the specified folder. To move an item to the top level of the catalogue, use the folder ID
TEXT
|
cat <dataset_id> location <new_path_location> |
Replace the dataset with a new version of the SXV4, located at the specified file location. This command is designed to allow you to update to a newer version of an existing dataset. For example, if you have customer data or survey results that are updated on a regular basis. The new dataset must be compatible with the existing one. See Update a Dataset for full details. |
cat [ <id> ] displayname <new_display_name> |
Change the display name of the specified dataset or folder. If you omit the
CODE
|
cat <id> id <new_id> |
Change the ID of the specified dataset or folder. You are recommended not to change IDs, but if you do you will need to restart SuperSERVER and re-apply all the user permissions for the catalogue item. |
cat {<dataset_id>|<folder_id>} multilingual {true|false} |
| Set the dataset or folder to be multilingual. This setting is used in conjunction with multilingual metadata to display dataset and field names in multiple languages. See Metadata and Multilingual Tables for more details on setting up multilingual metadata. |
cat remove <id> |
Remove the specified dataset or folder from the catalogue. Removing a folder will remove all the datasets within that folder. |
Set and Check User Access Permissions
cat <id> [ <item> ] access {<user>|<group>} |
| Check what permissions the specified user or group has over the specified dataset or folder. |
cat <id> [ <item> ] access {<user>|<group>} reset |
| Reset the permissions for this user or group over the specified dataset or folder to the defaults. |
cat <id> permissions |
Check which users or groups have permissions set for the specified catalogue item. The command When you check the permissions for a specific user or group using the |
cat userpermissions |
| Check the logged in user's permissions. |
cat {<dataset_id>|<folder_id>} [ <item> ] access {<user>|<group>|<collection>} | ||||||||||
Allow or deny access to the dataset.
|
Statistical Functions
cat aggregatestatfunction family name <name> |
Set the aggregated statistical function used by SuperSERVER. This algorithm is used for calculating medians, percentiles and paretos in derivations. The default is Parzen#1; you can change it to Parzen#2 if necessary, using the following command:
TEXT
If you change this setting, you must restart SuperSERVER to apply the change.
|
cat [ <dataset_id> ] addstatfunction {mean|median} |
Add a statistical function (mean or median) to the Summation Options in SuperWEB2. If you specify an ID then the change will apply to that dataset only; if you omit the ID then it will apply to all datasets by default (unless overridden for a specific dataset). This setting applies to SuperWEB2 only. |
cat [ <dataset_id> ] removestatfunction {mean|median} |
Remove a statistical function from the Summation Options in SuperWEB2. If you specify an ID then the change will apply to that dataset only; if you omit the ID then the function will be removed from all datasets by default (unless overridden for a specific dataset). This setting applies to SuperWEB2 only. |
cat <dataset_id> querystatfunctions |
List which statistical functions are currently enabled for the specified dataset. This setting applies to SuperWEB2 only. |
cat <dataset_id> availablestatfunctions |
List any statistical functions that are specifically set to be available at the dataset level (i.e., an override has been set at this dataset level). This will only list available functions that override the default. If you want a full list of available functions for this dataset, use the This setting applies to SuperWEB2 only. |
cat <dataset_id> disabledstatfunctions |
List any statistical functions that are specifically set to be disabled at the dataset level (i.e., an override has been set at this dataset level). This will only list disabled functions that override the default. If you want a full list of available functions for this dataset, use the This setting applies to SuperWEB2 only. |
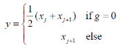
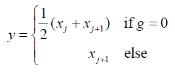
cat unitrecord nullhandling {NullAsSkipped|NullAsZero} |
Configure how SuperSERVER will handle null values when computing statistical functions on measure fields. The treatment of null values can affect the result. For example, suppose you have the following set of values: 4, 2, NULL If you calculate the mean from these values, then the result will either be:
The default setting is NullAsSkipped. If you change this setting, you must restart SuperSERVER to apply the change. |
cat unitrecord |
| Display the current null handling setting. |
cat Quantile |
Display the current quantile settings. |
cat Quantile algorithm {Step|AverageStep|WeightedAverage} | ||||||||||||
Set the algorithm used for quantile calculations. This algorithm applies to all quantile calculations, including percentiles and the median.
If you change this setting, you must restart SuperSERVER to apply the change. Take care before changing the quantile algorithm. Changing the quantile algorithm will invalidate any existing saved tables or recodes that contain quantiles based on the previously configured global quantile algorithm. |
cat Quantile Buckets [<array_of_integers>] |
Set which quantile ranges are available in SuperWEB2. To specify which quantile ranges you want to be available, use an array of integers (greater than 1) separated by spaces and enclosed in square brackets. The order in which you list the integers in the array will be the order that the corresponding quantile ranges appear in the options in SuperWEB2. For example:
TEXT
TEXT
This setting applies to SuperWEB2 only. You must restart Tomcat or the SuperWEB2 service for the change to take effect. |
cat Quantile confidentialitystring <string> |
Set the confidentiality string. This string is used to conceal the minimum of the bottom range and the maximum of the top range when quantile perturbation is enabled. For example:
CODE
You are recommended not to change the confidentiality string except during the initial system configuration. If the string is changed then it may not be possible to reload some pre saved TXD files with recodes on the quantile. |
Method Catalogue Settings
cat [ <folder_id> ] findmethod <method_id> |
Displays the IDs of all the datasets that the specified method is assigned to.
SuperADMIN applies permissions to this command. It will only search datasets where you have at least read permission. |
cat <dataset_id> methods |
| Displays a summary of the methods assigned to this dataset. |
cat <dataset_id> methods details <method_id> |
| Displays detailed information about the specified method. |
cat <dataset_id> addmethod <method_id> [ <priority> ] |
Apply a method to the specified dataset. The priority is optional. If you do not specify a priority then it defaults to the highest in the order and the method will be executed last. |
cat <dataset_id> methods <method_id> priority <priority> |
| Change the priority of the specified method. |
cat <dataset_id> removemethod <method_id> |
| Removes the specified method from this dataset. |
cat <folder_id> removemethod <method_id> |
| Removes the specified method from all dataset in this folder. |
cat <dataset_id> methods remove |
| Remove all methods from this dataset. |
cat <dataset_id> disablemethods access {<user>|<group>} read {true|false} |
Control whether or not users are allowed to disable mandatory methods in SuperCROSS. Set this to |
cat <dataset_id> selectTableMethods access {<user>|<group>} read {true|false} |
Control whether or not users are allowed to disable table methods in SuperCROSS. Set this to true to allow this or false otherwise. |
Change Other Catalogue Settings
cat <dataset_id> enablerecodetotals {true|false} |
Enable or disable the ability for users to create recode totals in SuperCROSS. If you set this to false, then SuperCROSS users will not be able to select the Add Total With Default Recodes check box in the Fields window or add totals to recodes in the Define Recode window. |
cat <dataset_id> recordview [value {<user>|<group>}] {true|false} | ||||||
Allow or deny access to the Record View feature in SuperWEB2, and SuperCROSS.
Click here to learn more about setting Record View permissions and see some examples. |
cat <dataset_id> recordview value |
| Displays any user and group overrides set for this dataset. |
cat <dataset_id> recordview value [{<user>|<group>}] reset |
Remove any existing Record View setting override for the specified user or group. If you do not specify a user or group, this command will remove all user and group overrides for this dataset (all users will revert to the dataset-level default setting). |
cat <dataset_id> weightings {auto|client|server|off} |
| Change the type of weighting used for this dataset. See Understanding SuperSERVER, SuperCROSS and SuperWEB2 Weighting Differences for more details. |




