RSE Calculation
| Summary | Calculates Relative Standard Error. |
|---|---|
| Filename | rsecalculationmodule |
| Dependencies | None |
| Priority | This module calculates the RSE, so must run before any other modules that require or update the RSE cube. It now runs automatically for SuperSERVER weighted datasets (see below) and does not need to be configured. |
RSE Calculation Module Now Runs By Default
RSE is only available for weighted databases.
From version 9.7 onwards the RSE Calculation Module runs automatically when a database is configured to use SuperSERVER weightings. While you can still configure the module if you wish to change other RSE settings, or have legacy configuration from an earlier release, in most cases this will not be necessary:
If you want to change the RSE formula, then you can do so by changing a setting in the weightings file. If both are configured, then the setting configured for the method in SuperADMIN takes precedence.
If you want to configure the unreliable cell and table threshold, and message, you are recommended to use the RSE Poor Table Check module instead.
Configuration
method addmethod <method_id> [{table|mandatory}] [<display_name>]
method <method_id> adddcplugin <plugin_id> rsecalculationmodule [<priority>]
method <method_id> <plugin_id> addproperty Formula {jackknife|bootstrap}
method <method_id> <plugin_id> addproperty UnreliableRseThreshold <threshold>
method <method_id> <plugin_id> addproperty UnreliableTableThreshold <threshold>
method <method_id> <plugin_id> addproperty Message <message>
Example
method addmethod MethodID
method MethodID adddcplugin RSECalculation rsecalculationmodule 1
method MethodID RSECalculation addproperty Formula "jackknife"
method MethodID RSECalculation addproperty UnreliableRseThreshold "0.75"
method MethodID RSECalculation addproperty UnreliableTableThreshold "2%"
method MethodID RSECalculation addproperty Message "Table is not reliable"
Properties
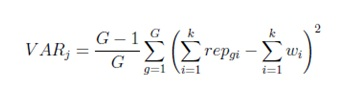
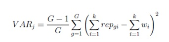
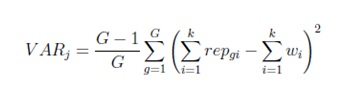
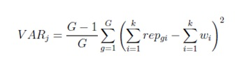
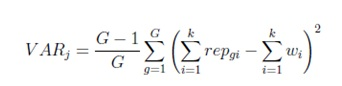
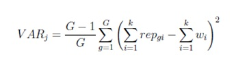
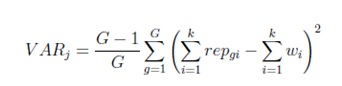
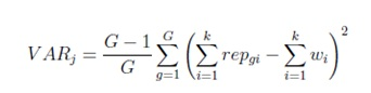
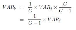
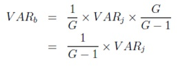
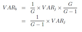
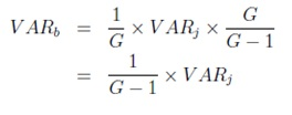
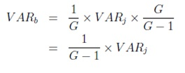
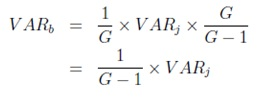
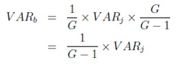
Formula | The formula for calculating RSE:
While RSE values are supposed to be in the range of 0 and 1, these formulas do not guarantee that calculated RSE values are always in the range of 0 and 1. Calculated values may be greater than 1 in some cases.
| ||||
|---|---|---|---|---|---|
UnreliableRseThreshold | The RSE threshold for unreliable cell values. If a cell's RSE is greater than the threshold value that cell will be considered unreliable. | ||||
UnreliableTableThreshold | The threshold for unreliable tables. This must be specified as a percentage, for example If the proportion of unreliable cells in the table exceeds this value then the table will be considered unreliable and the unreliable table message will be shown. | ||||
Message | A message that will be displayed if the table has failed the reliability check. |


